Integracion Por Sustitucion Trigonometrica PDF Integral Teoría del operador
Integración por sustitución trigonométrica: técnicas y ejemplos resueltos | PDF | Integral | Matemática Elemental. Scribd is the world's largest social reading and publishing site.
Integración Por Sustitución Trigonométrica PDF
Aprende gratuitamente sobre matemáticas, arte, programación, economía, física, química, biología, medicina, finanzas, historia y más. Khan Academy es una organización sin fines de lucro, con la misión de proveer una educación gratuita de clase mundial, para cualquier persona en cualquier lugar.
Integración por sustitución 5 ejercicios explicados desde cero La Prof Lina M3 YouTube

Formulario de integrales matemovil.com 1. SUSTITUCIÓN TRIGONOMÉTRICA EXPRESIÓN SUSTITUCIÓN EVALUACIÓN DE LA EXPRESIÓN IDENTIDAD USADA. INTEGRACIÓN POR SUSTITUCIÓN ∫ ( ( )) ´( ).
Integración por Sustitución Trigonométrica (Más Ejemplos) YouTube

En esta sección veremos cómo integrar una variedad de productos de funciones trigonométricas. Estas integrales se llaman integrales trigonométricas.Son una parte importante de la técnica de integración llamada sustitución trigonométrica, que aparece en Sustitución trigonométrica.Esta técnica nos permite convertir expresiones algebraicas que tal vez no podamos integrar en expresiones.
Integración por sustitución trigonométrica. Ejemplo 2 YouTube

En el siguiente ejemplo, vemos que a veces tenemos una opción de métodos. Evaluar ∫ x3√1 − x2dx dos formas: primero usando la sustitución u = 1 − x2 y luego usando una sustitución trigonométrica. Método 1. Vamos u = 1 − x2 y por lo tanto x2 = 1 − u. Así, du = − 2xdx. en este caso, la integral se convierte.
Lista 8 Integrales por sustitución trigonométrica Universidad Nacional Escuela de Matemática
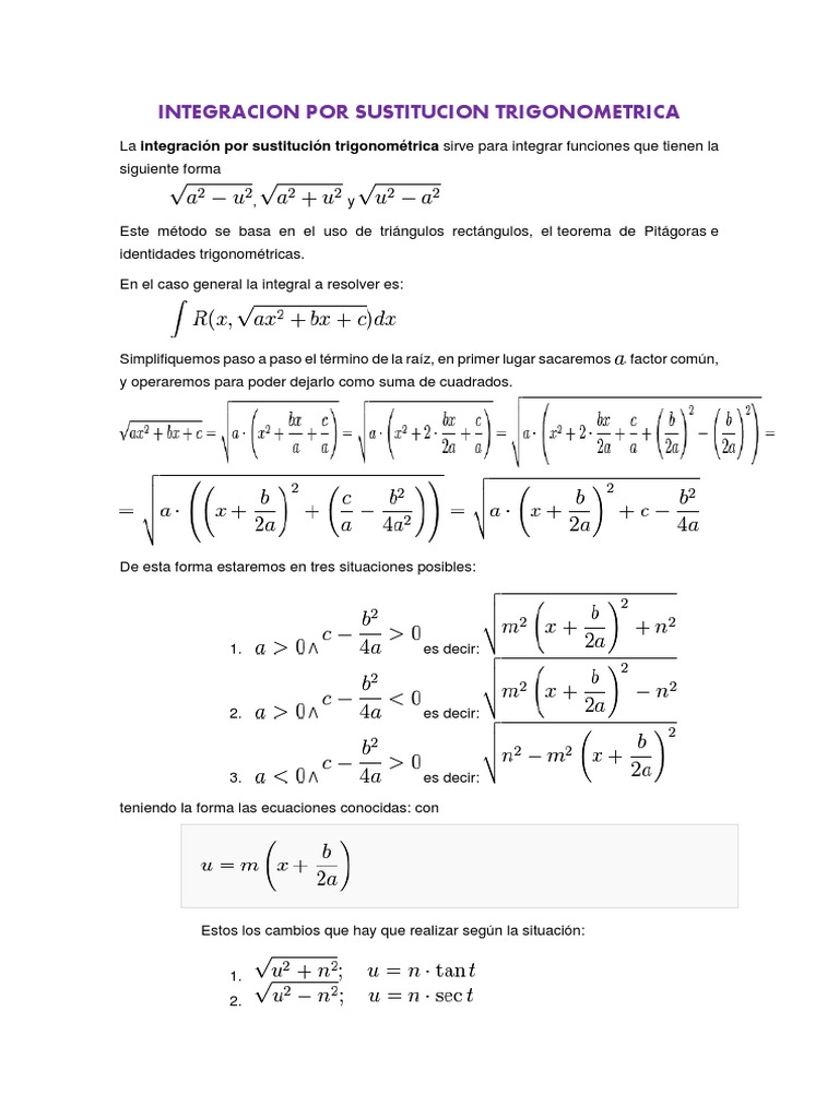
Métodos de Integración 2.5 Integración por sustitución trigonométrica A continuación veremos una técnica de integración, la cual se basa en utilizar funciones trigonométricas para aplicar cambios de variable que tendrán como objetivo eliminar radicales de las formas p a2 x2, p a2 Cx2 & p x2 a2, donde a es una constante positiva.
Ejemplos de Integración por Sustitución Trigonométrica Cálculo Integral CiberTareas

OBJETIVOS. Calcular integrales utilizando la técnica de sustitución trigonométrica. En esta sección se estudian las integrales que contienen expresiones de la forma. a 2 u 2 , a 2 u 2 , u 2 a 2. Usualmente estas expresiones se encuentran elevadas a una potencia racional positiva o negativa.
Ingeniería23 Integrales por Sustitución trigonométrica

3.1 Integración por partes; 3.2 Integrales trigonométricas; 3.3 Sustitución trigonométrica; 3.4 Fracciones parciales; 3.5 Otras estrategias de integración;. Integre utilizando el método de sustitución trigonométrica. Exprese la respuesta final en términos de la variable. 134.
INTEGRACIÓN POR SUSTITUCIÓN BASICA EJERCICIOS RESUELTOS PDF
.gif)
1 = t , llegamos a la integral de una función racional de las estudiadas en el capítulo anterior. De manera sencilla, con este cambio se obtiene que: cos x =. t - 1 2 , dx =. dt. -. t. Como en el caso anterior, no aparecerán funciones irracionales en la nueva integral, debido a la imparidad de la función cosx.
Integracion Por Sustitucion Trigonometrica PDF Integral Relaciones matematicas
Integración por sustitución trigonométrica: es: dc.type: Presentation: es Files in this item. Name: sustitucion-trigonometrica.pdf Size: 871.9Kb Format: PDF. View/ Open. This item appears in the following Collection(s) Presentaciones electrónicas; Show simple item record.
Integracion Por Sustitucion Trigonometrica PDF
View PDF. 5. INTEGRACIÓN POR SUSTITUCIÓN TRIGONOMÉTRICA a u 2 Cuando el integrando presenta expresiones de la forma: a 0 y u es una función de x. 2 , a u 2 2 o bien u a 2 2 ; donde Se elimina el radical haciendo la sustitución trigonométrica pertinente; el resultado es un integrando que contiene funciones trigonométricas cuya.
Integración Por Sustitución Trigonométrica, Fracciones Parciales PDF
Ejemplo 5.4.1: subst3. Agrega texto aquí. Solución. Evaluar ∫(1 + 4x)5 \dx. Solución: Podrías estar tentado a hacer la sustitución u = 4x, pero eso requeriría entonces encontrar la integral de (1 + u)5, para lo cual aún no existe fórmula alguna. Pero hay una fórmula para la integral de u5. De ahí, vamos u = 1 + 4x, para que \du = 4.
INTEGRALES POR SUSTITUCION TRIGONOMETRICA EJERCICIOS RESUELTOS PDF
.gif)
La integración por sustitución trigonométrica sirve para integrar funciones que tienen la forma: √ , √ , √ ; , , , , y. Este método se basa en el uso de triángulos rectángulos, el teorema de Pitágoras e. identidades trigonométricas. Para el método de sustitución trigonométrica se reemplaza el radical haciendo una.
S12 PPT Integración Por Partes y Sustitución Trigonométrica PDF Integral Funciones y
Método es apropiado para resolver integrales que contienen alguna raíz cuadrada de la forma 2 sec z a2 u2 u2 r a2 Integrales por Sustitución Trigonométrica este Fundamentalmente, en realizar un adecuado cambio de variable, de manera que, la diferencial no se altere. consiste Muchos casos el método más corto de integrar tales
INTEGRALES POR SUSTITUCION TRIGONOMETRICA EJERCICIOS RESUELTOS PDF
.gif)
Integración por partes Integrales de funciones trigonométricas Sustitución Trigonométrica Fracciones parciales . Introducción. En esta sección, ya con la ayuda del Teorema Fundamental del Cálculo, desarrollaremos las principales técnicas de Integración que nos permitirán encontrar las integrales indefinidas
(PDF) MÉTODO DE INTEGRACIÓN POR SUSTITUCIÓN TRIGONOMÉTRICATEORÍA Y 45 EJERCICIOS RESUELTOS

Esta sección introduce la Sustitución Trigonométrica, un método de integración que llena este vacío en nuestra habilidad de integración. Esta técnica funciona sobre el mismo principio que la Sustitución que se encuentra en la Sección 6.1, aunque puede sentirse "atrasada".
.